ShakeMap

Time: Fri November 21, 2025 00:05:25 (UTC)
|
Depth: 16.05 km
|
Event ID: 62214426
|
Location: 48.797, -119.505

Instrument Intensity

Regional

Download: JPG | PDF

Peak Ground Acceleration

Regional

Download: JPG | PDF

Peak Ground Velocity

Regional

Download: JPG | PDF

Uncertainty

Regional

Download: JPG | PDF

Downloads

Regional
Intensity JPG | PDF
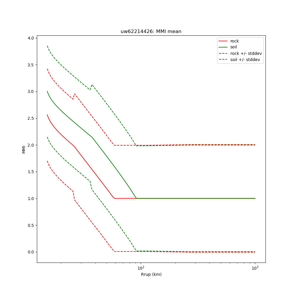
Intensity Regression PNG
Uncertainty JPG | PDF
Acceleration JPG | PDF
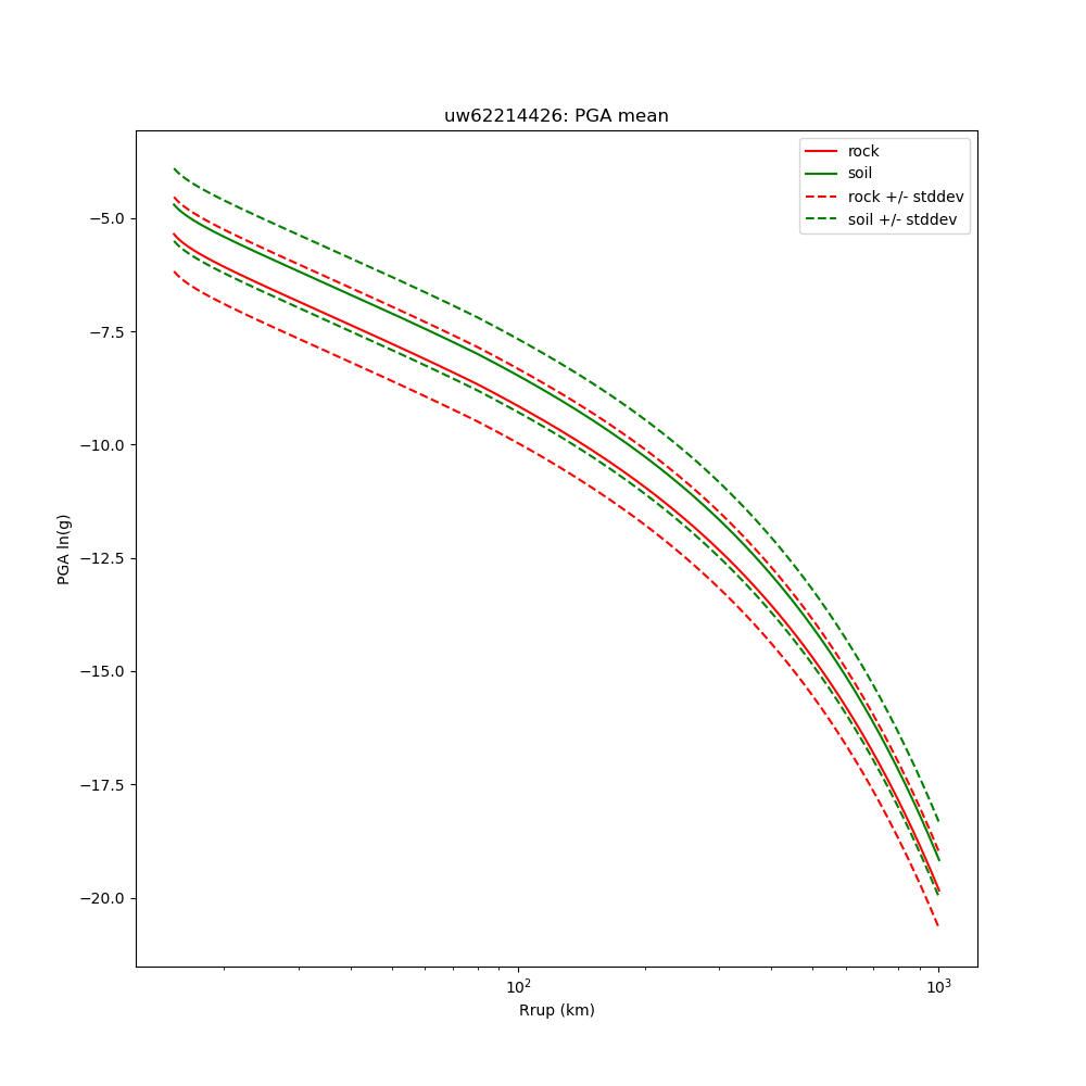
PGA Regression PNG
Velocity JPG | PDF
PGV Regression PNG
Spectral 0.3 JPG | PDF
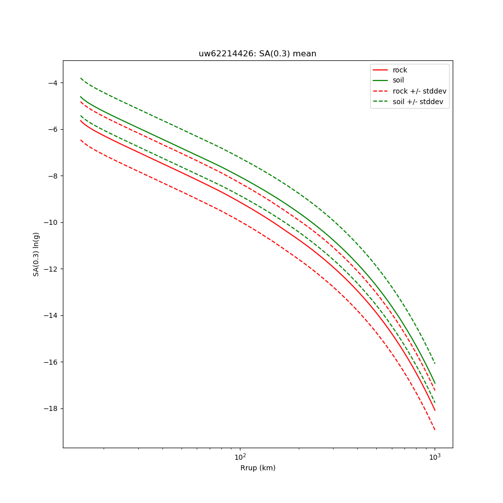
PSA 0.3 Regression PNG
PSA 0.3 Uncertainty JPG | PDF
Spectral 1.0 JPG | PDF
PSA 1.0 Regression PNG
PSA 1.0 Uncertainty JPG | PDF
Spectral 3.0 JPG | PDF
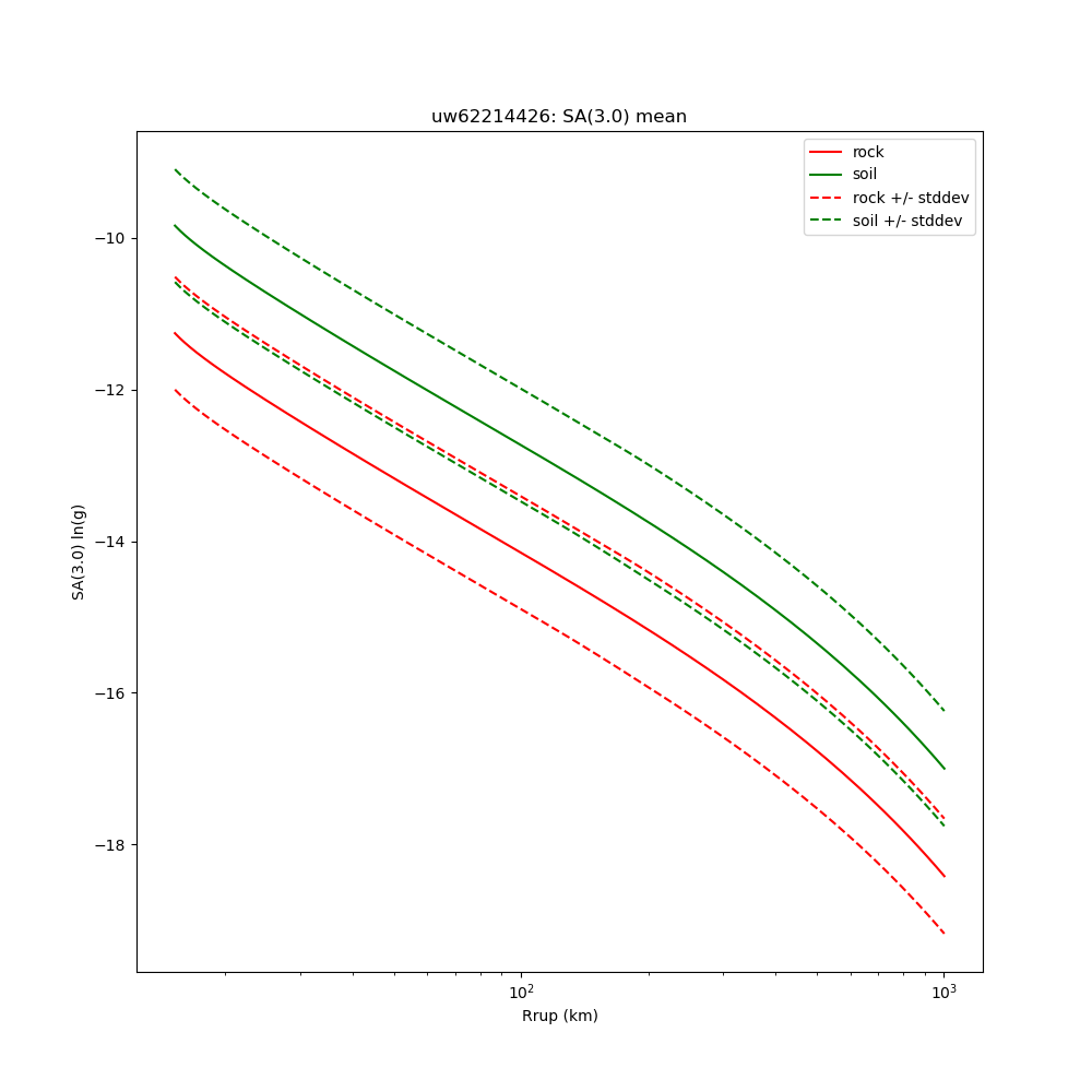
PSA 3.0 Regression PNG
PSA 3.0 Uncertainty JPG | PDF
Grid XML
Gis ZIP
Station JSON
Info JSON